Ответы
Ответ дал:
1
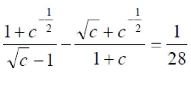
Відповідь: 64
Покрокове пояснення: фото
Приложения:


Вас заинтересует
1 год назад
1 год назад
1 год назад
3 года назад
8 лет назад