Ответы
Ответ дал:
1
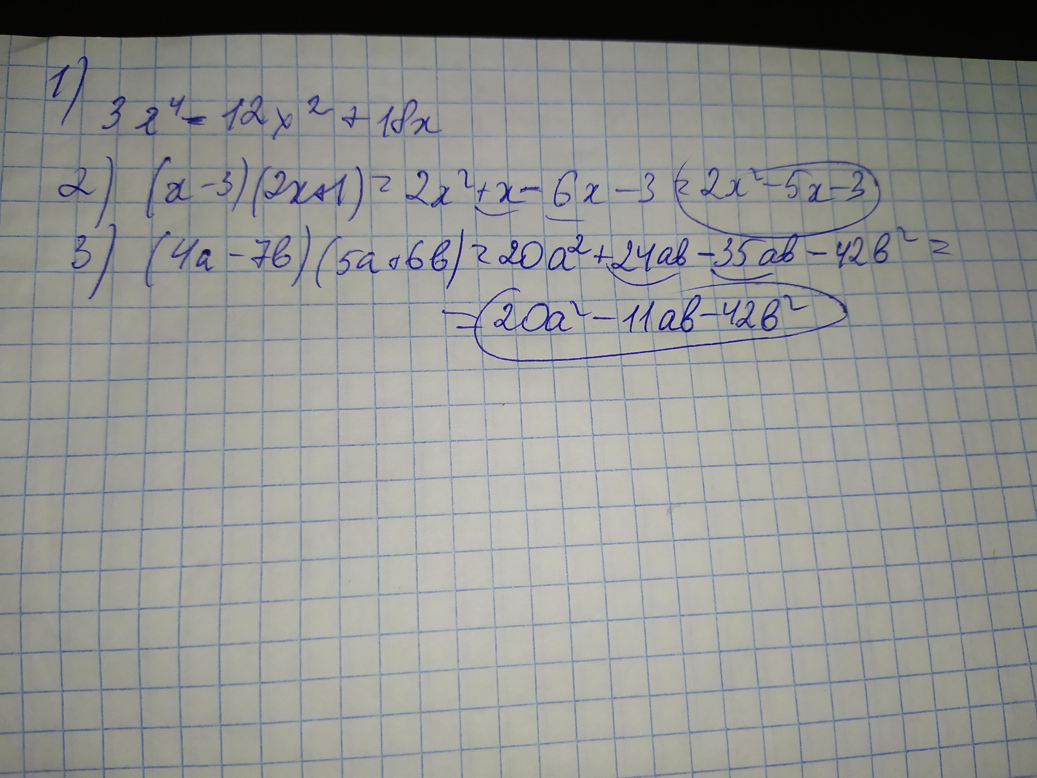
Ответ:1)3х^4-12х^2+18х
2)2х^2-5х-3
3)20а^2-11ав-42в^2
3 задание
2)1,25
2задание
1)5a(a-4b)
2)7x^3(1-2x^2)
3)(3+x)(a-b)
4)(b-2)(b-a)
3задание
1)у(4+0,2у)=0
у=0. 4+0,2у=0
0,2у=-4
у=-20
Пошаговое объяснение:
Приложения:




dimabahturin12:
помоги с 3
Ответ дал:
1
Пошаговое объяснение:
Вот решение 1 задание:)
Приложения:


Вас заинтересует
1 год назад
1 год назад
1 год назад
1 год назад
3 года назад
8 лет назад