• Предмет: Математика
  • Автор: yaroslavchernov12
  • Вопрос задан 2 года назад

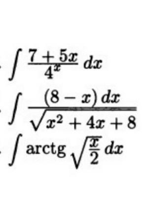
найти интегралы.........​

Приложения:

Ответы

Ответ дал: natalyabryukhova
0

Ответ:

=====================

Пошаговое объяснение:

Приложения:

yaroslavchernov12: спасибо
Вас заинтересует