• Предмет: Алгебра
  • Автор: kirich8899
  • Вопрос задан 2 года назад

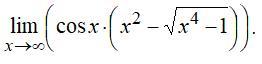
Вычислить предел функции или числовой последовательности

Приложения:

Ответы

Ответ дал: igundane
1

////////////////////////////

Приложения:

kirich8899: Спасибо. Реши пожалуйста мои остальные вопросы, которые я задал
Вас заинтересует