• Предмет: Математика
  • Автор: Хлебушек333
  • Вопрос задан 2 года назад

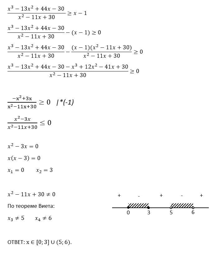
Решите неравенство (профиль). 50б


\frac{x^{3}-13x^{2}+44x-30}{x^{2}-11x+30 } \geq x-1

Ответы

Ответ дал: papagenius
0

Ответ:

Пошаговое объяснение:

Смотри ниже..

Приложения:

Хлебушек333: Спасибо!
Вас заинтересует