Ответы
Ответ дал:
1
Ответ: во вложении Пошаговое объяснение:
Приложения:

Ответ дал:
1
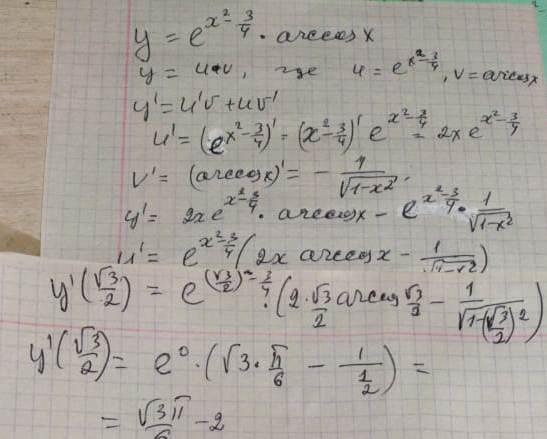
Ответ:√3π/6-2;
Пошаговое объяснение:
Приложения:

Вас заинтересует
1 год назад
1 год назад
1 год назад
1 год назад
3 года назад
3 года назад
8 лет назад
8 лет назад