• Предмет: Алгебра
  • Автор: Bulatr1
  • Вопрос задан 2 года назад

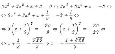
3x^3+3x^2+x+3=0, помогите решить

Ответы

Ответ дал: igundane
1

/////////////////////////////////////

Приложения:
Вас заинтересует