• Предмет: Математика
  • Автор: rostyk2
  • Вопрос задан 2 года назад

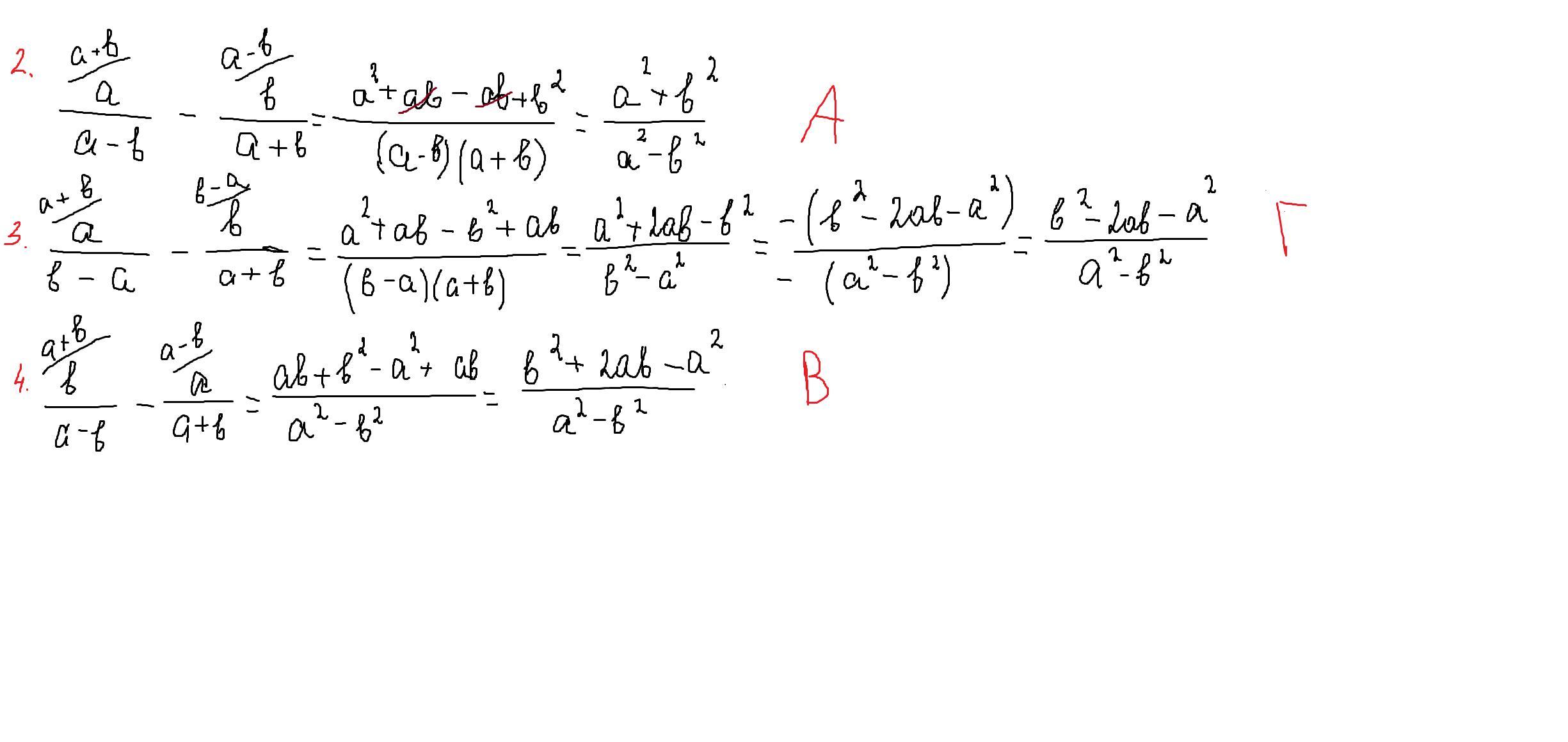
Решить с подробностями (2,3,4)
пожалуйсталш

Приложения:

Ответы

Ответ дал: parus77
1

Ответ:

Пошаговое объяснение:

решение внизу

Приложения:
Вас заинтересует