• Предмет: Алгебра
  • Автор: sgtghost01
  • Вопрос задан 2 года назад

Как решить уравнения
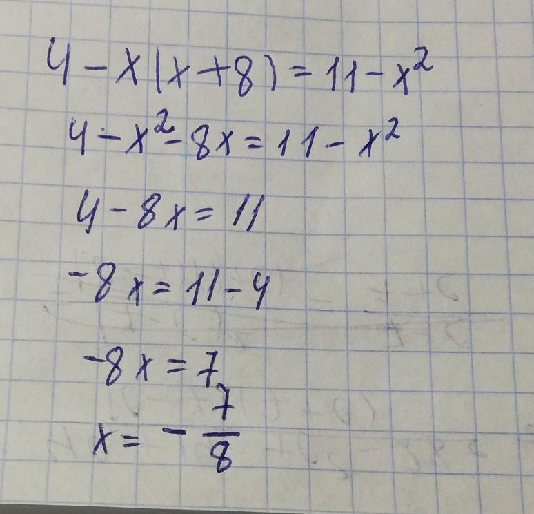
4-х(х+8)=11-x(в квадрате)

Ответы

Ответ дал: QDominus
0

4 - x(x + 8) = 11 -  {x}^{2}  \\ 4 -  {x}^{2}  - 8x  - 11 +  {x}^{2}  = 0 \\  - 8x - 7 = 0 \\  - 8x = 7 \\ x =   - \frac{7}{8}

Ответ дал: anastasiam026
0

Ответ на уравнение :

X=-7/8.

Приложения:
Вас заинтересует