Помогите решить задачу, буду благодарен.
Нужно работать по этой схеме.
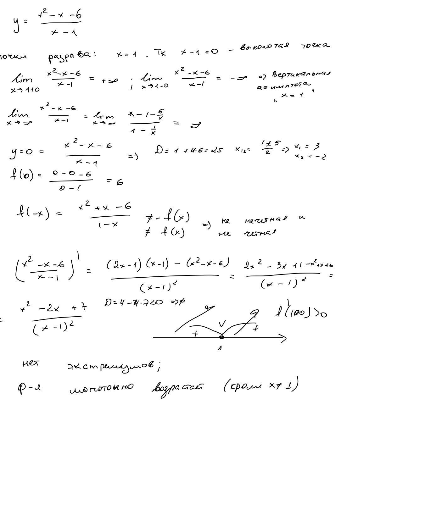
1)Найти область определения. Выделить особые точки(точки разрыва.
2)Проверить наличие вертикальных асимптот в точках разрыва и на границах области определения.
3)Найти точки пересечения с осями координат
4)Установить, является ли функция чётной или нечётной
5)Определить, является ли функция периодической или нет.
6)Найти точки экстремума и интервалы монотонности
7)Нвйти точки перегиба и интервалы выпуклости-вогнутости.
8)Найти наклонный асимптоты. Исследовать поведение на бесконечности
9)Выбрать дополнительные точки и вычислить их координаты
10)Построить график и асимптоты.
Приложения:

Ответы
Ответ дал:
2
Ответ:
Я постарался быстро сделать самре основное. Там во многих ответ просто нет. Тк нет экстремума
Объяснение:
Приложения:

Ruuі:
спасибо
Вас заинтересует
1 год назад
1 год назад
1 год назад
3 года назад
8 лет назад