• Предмет: Алгебра
  • Автор: eam17840
  • Вопрос задан 2 года назад

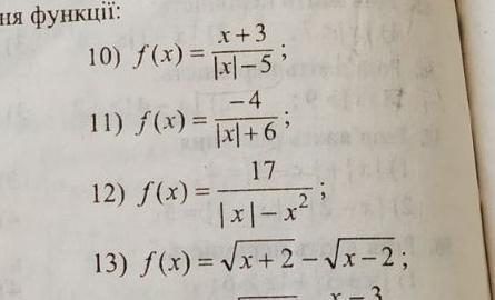
найти область обозначения функции
помогите пожалуйста

Приложения:

Ответы

Ответ дал: igundane
1

10)|x|-5\neq 0=>x\neq +-5\\11)|x|+6\neq 0<=>|x|=-6

Тут любое число ,так как модуль не равняется отрицательному числу

12)|x|-x^2=0<=>|x|(1-|x|)\neq 0\\x\neq 0\\1-|x|\neq 0=>x\neq +-1\\13)\left \{ {{x+2\geq 0} \atop {x-2\geq0}} \right. =>x\geq 2


eam17840: а почему после ноля равно
Вас заинтересует