• Предмет: Алгебра
  • Автор: NOII
  • Вопрос задан 11 лет назад

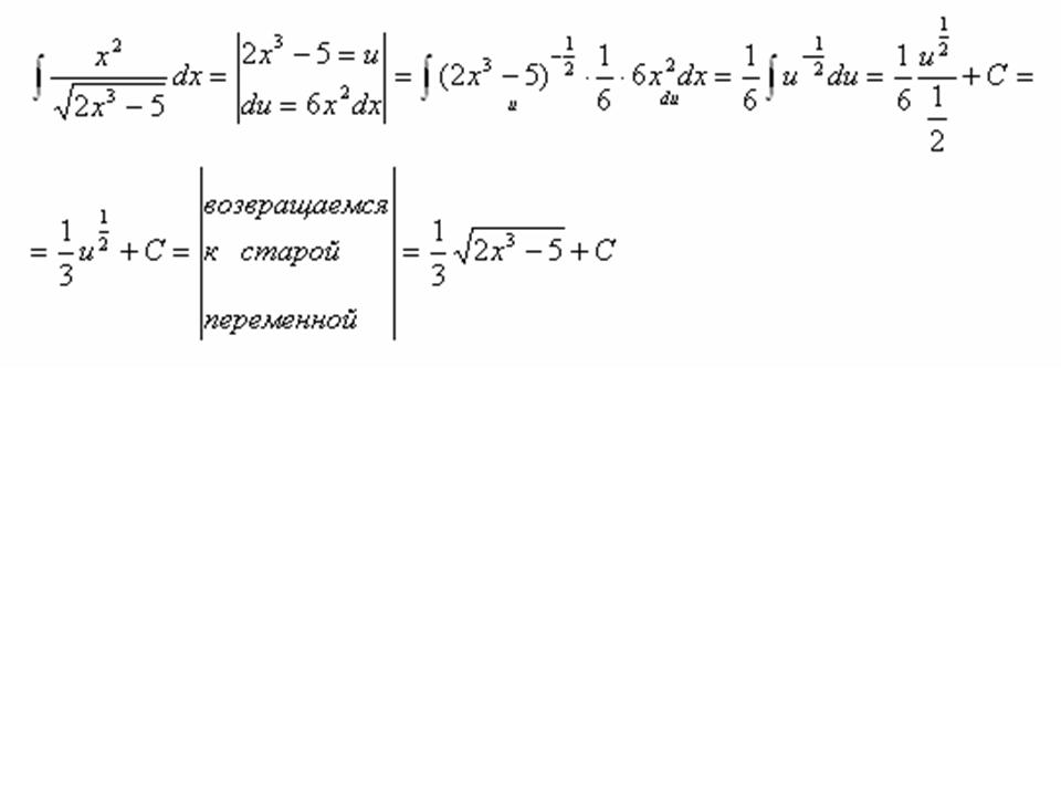
Как решить пример??? "вычисление интегралов. замена переменной"

Приложения:

Ответы

Ответ дал: Evklid61
0
О, ты уже здесь со своими интегралами! Ладно, один даю

Приложения:
Вас заинтересует