• Предмет: Алгебра
  • Автор: kirich8899
  • Вопрос задан 2 года назад

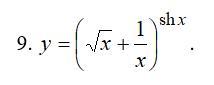
Математический анализ: Найти производную.

Приложения:

Ответы

Ответ дал: Miroslava227
0

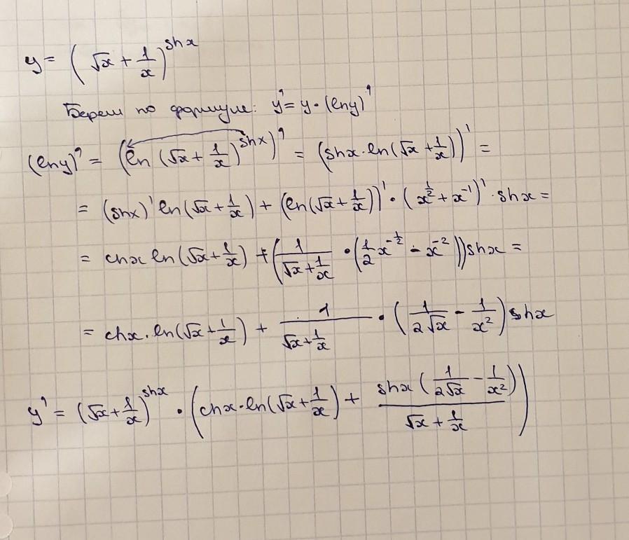
Ответ:

решение на фотографии

Приложения:
Вас заинтересует