• Предмет: Алгебра
  • Автор: CepreuJIaxomoB
  • Вопрос задан 2 года назад

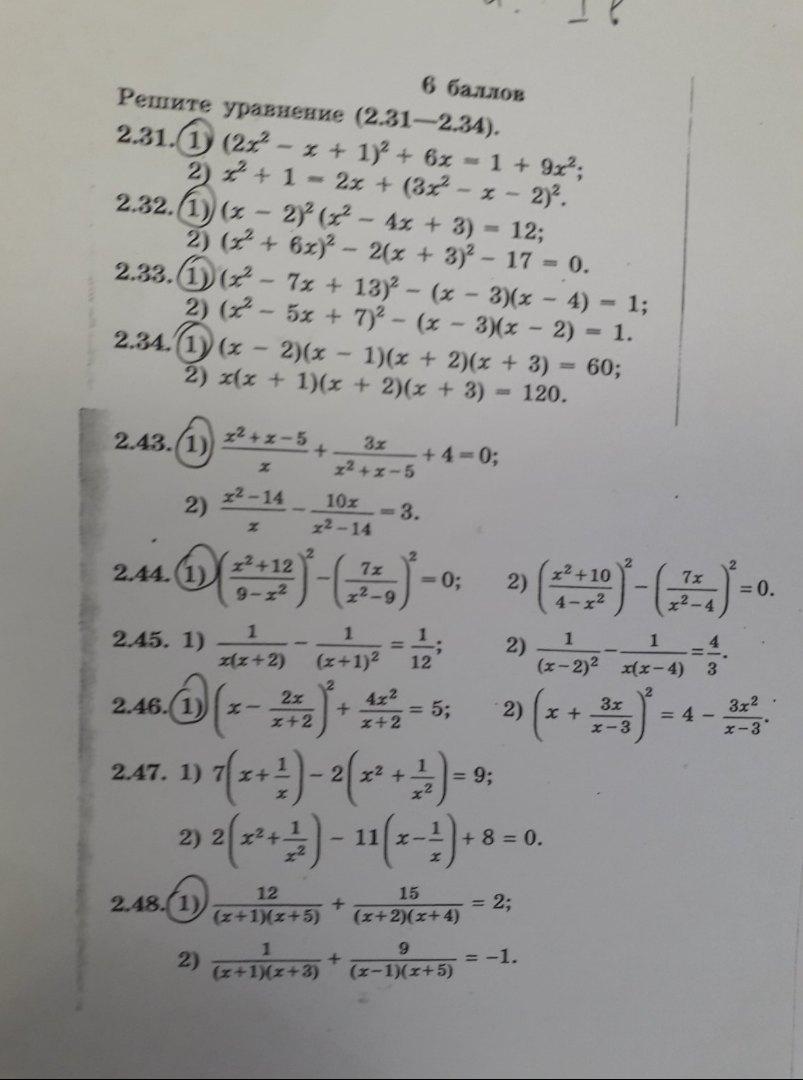
РЕШИТЕ УРАВНЕНИЕ 2.44 (1)

Приложения:

Ответы

Ответ дал: LFP
0

Ответ: x = ±4

Объяснение: удобно применить формулу "разность квадратов"

по т.Виета корни получившихся квадратных уравнений можно найти устно...

Приложения:
Вас заинтересует