• Предмет: Алгебра
  • Автор: meed1359
  • Вопрос задан 2 года назад

помогите решить тест по алгебре, зарание спасибо

Приложения:

Ответы

Ответ дал: fopot53458
0

Ответ:

1. -25

2. 5) 19/8

3. 0,315

4. 8

5. -0,2

6. 1

7. 5) (2,5; -1)

8. 3

9. 3) (2; 1)

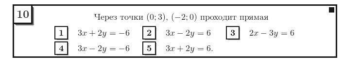
10. 3x - 2y = -6

Вас заинтересует