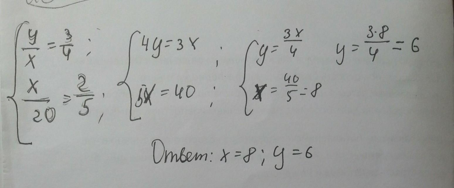
Нипишите вместо x и y такие числа, чтобы каждые из двух равенство был верными. y/x=3/4 и x/20=2/5
Приложения:

Ответы
Ответ дал:
3
подробное решение на фото.
Приложения:

novichok92:
та же примеров много
Вас заинтересует
1 год назад
1 год назад
1 год назад
1 год назад
3 года назад
3 года назад
8 лет назад