• Предмет: Алгебра
  • Автор: 20150118daryamo
  • Вопрос задан 2 года назад

Помогите пожалуйста!!Решите уравнение

5/(x^2-7x)-(x-5)/(x^2+7x)-9/(x^2-49)=0

Ответы

Ответ дал: cernysk491
0

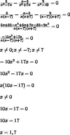
Ответ:на фото

Объяснение:

Приложения:
Вас заинтересует