• Предмет: Геометрия
  • Автор: ladapoliakova
  • Вопрос задан 2 года назад

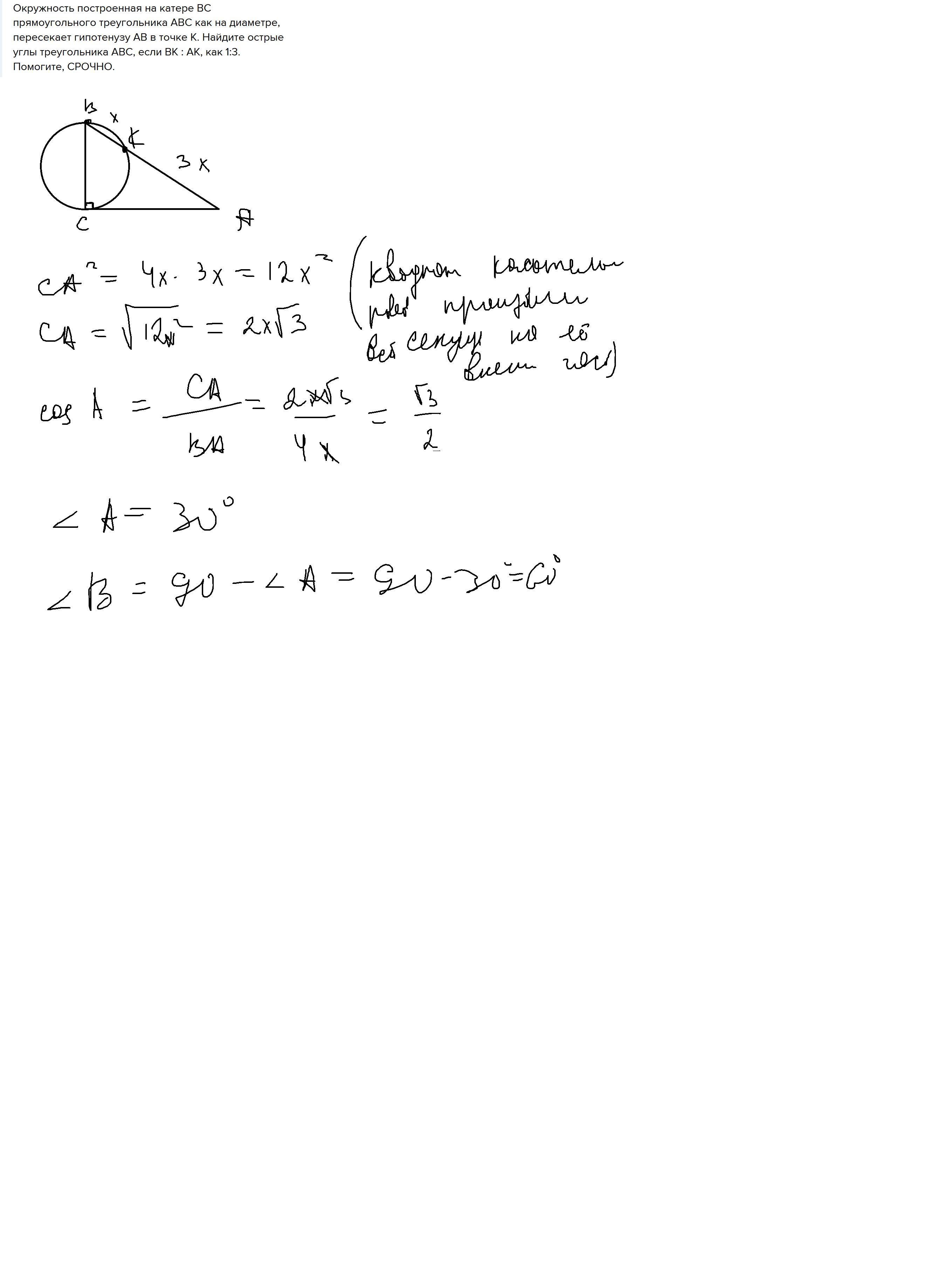
Окружность построенная на катере ВС прямоугольного треугольника АВС как на диаметре, пересекает гипотенузу АВ в точке К. Найдите острые углы треугольника АВС, если ВК : АК, как 1:3. Помогите, СРОЧНО. ​

Ответы

Ответ дал: vikll
0

Ответ:

Объяснение:Окружность построенная на катере ВС прямоугольного треугольника

Приложения:

ladapoliakova: А вы не могли бы объяснить ответ? Поскольку такие значения совершенно не подходят
vikll: АС-касательная, а квадрат касательной равен произведению "всей секущей"(отрезку АВ) на ее "внешнюю часть"(отрезку АК). Ну а косинус- отношение прилежащего катета к гипотенузе. И из суммы острых угло прямоугольного тр-ка равной 90...
Вас заинтересует