• Предмет: Алгебра
  • Автор: DuuGazizova2005
  • Вопрос задан 2 года назад

Помогите пожалуйста с примерами

Приложения:

Ответы

Ответ дал: NNNLLL54
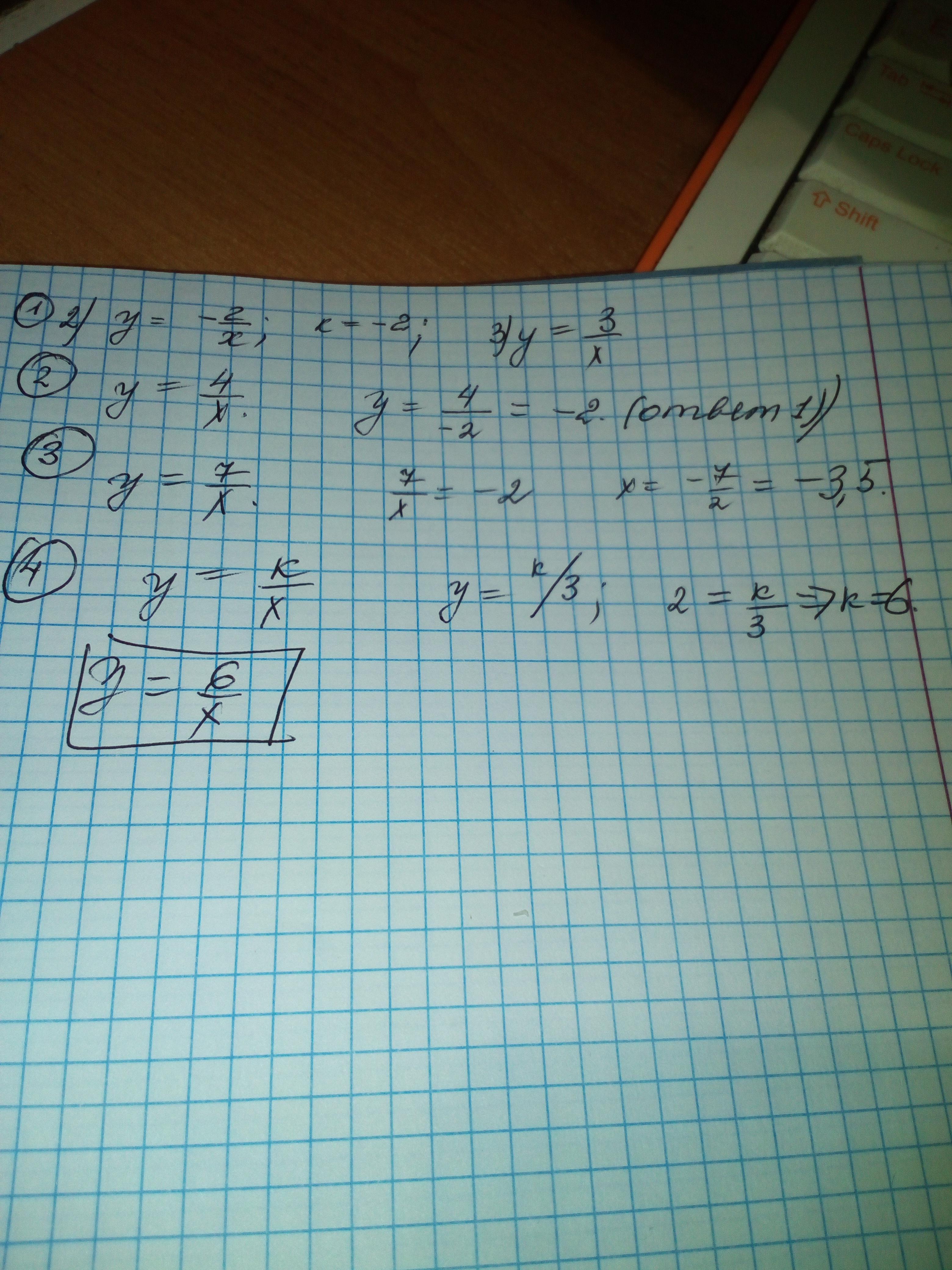
1

1)\; \; y=-\frac{2}{x}\; \; ,\; \; y=\frac{3}{x}\\\\2)\; \;  y=\frac{4}{x}\\\\y(-2)=-2\; ,\; \; y(-\frac{1}{2})=-8\; \; ,\; \; y(2)=2\; \; ,\; \; y(\frac{1}{2})=8\\\\3)\; \; y=\frac{7}{x}\; \; ,\; \; \; \frac{7}{x}=-2\; \; ,\; \; x=-3,5\\\\4)\; \; y=\frac{k}{x}\; \; ,\; \; K(3,2)\\\\2=\frac{k}{3}\; \; ,\; \; k=6\; \; \Rightarrow \; \; \; y=\frac{6}{x}


Аноним: Скажите, а что Вы считали в третьей строке?)
Ответ дал: Аноним
0

Ответ: во вложении Объяснение:

Приложения:
Вас заинтересует