• Предмет: Математика
  • Автор: Karskov829
  • Вопрос задан 2 года назад

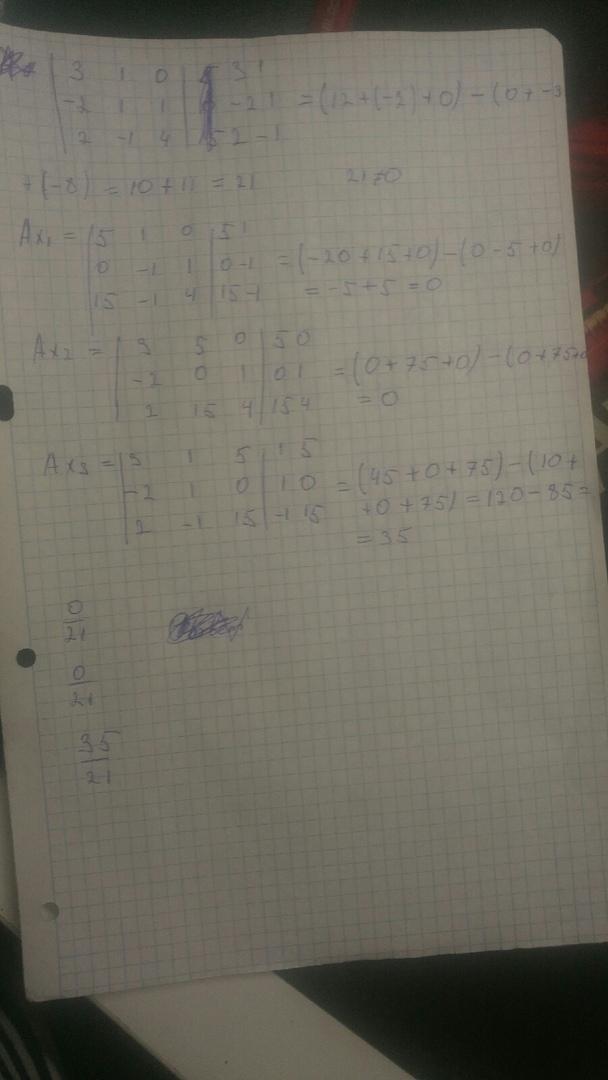
Решите заданную систему уравнений Пользуясь формулами Крамера сделать проверку полученного решения 3x+y=5, - 2x+y+z=0, 2x-y+4z=15

Ответы

Ответ дал: Xren4ik4
0

Ответ:

баллов подними , сделаю

Пошаговое объяснение:

Приложения:

Xren4ik4: на
Karskov829: Спасибо, межешь еще решить задачу с чертежем. Даны координаты вершин треугольника АВС. НАЙТИ: 1) длину стороны АВ; 2) уравнение сторон АВ и ВС и их угловые коэффициенты; 3) внутренний угол В в радианах с точностью до 0,01; 4) уравнение медианы АЕ; 5) уравнение и длину высоты СD; 6) уравнение прямой, проходящей через точку Е параллельно стороне АВ и точку М ее пересечения с высотой СD A(3; - 3), B(6; 1), C(7; - 1)
Karskov829: Очень надо
Вас заинтересует