• Предмет: Алгебра
  • Автор: eliya7346
  • Вопрос задан 2 года назад

Помогите ПОЖАЛУЙСТА!!!!!!!!!!!!!!!!

Приложения:

Ответы

Ответ дал: bubnowden
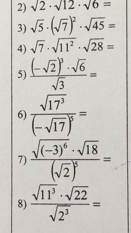
1

2) 12

3) 105

4) 154

5) -4

6) 1/-17

7) 20,25

8) 60,5

Ответ дал: daemon36
1

все примеры с решением,надеюсь понадобится

Приложения:

eliya7346: Спасибо большое)
Вас заинтересует