Ответы
Ответ дал:
8
Ответ:
Решение тригонометрических уравнений.
Приложения:

helpplscry:
большое спасибо!!!
Ответ дал:
5
Ответ:
х = π/4 + πm/2, где m ∈ Z.
Пошаговое объяснение:
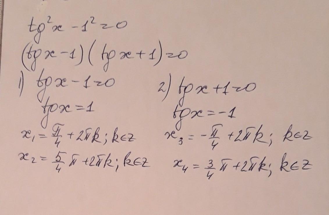
tg^2x-1=0
tg^2x-1^2=0
(tgx - 1)(tgx + 1) = 0
tgx - 1 = 0 или tgx + 1 = 0
1. tgx - 1 = 0
tgx = 1
х = π/4 + πк, где к ∈ Z.
2) tgx + 1 = 0
tgx = - 1
х = - π/4 + πl, где l ∈ Z.
Объединим полученные решения:
х = π/4 + πm/2, где m ∈ Z.
Вас заинтересует
1 год назад
1 год назад
3 года назад
3 года назад