• Предмет: Алгебра
  • Автор: Akonitin
  • Вопрос задан 2 года назад

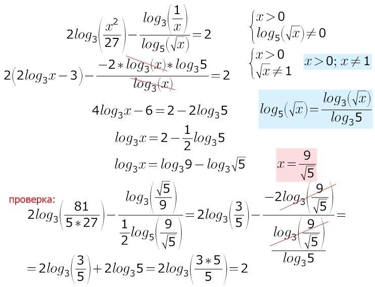
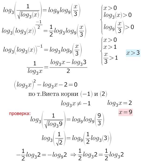
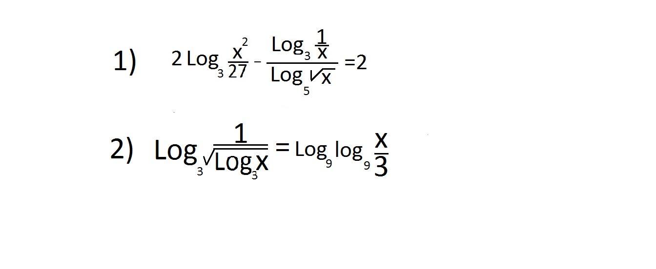
Два сложных логарифмических уравнения.

Решите хотя бы первое. Если не сложно можно и второе.

Приложения:

Ответы

Ответ дал: LFP
0

Ответ: 1) x=\frac{9}{\sqrt{5}}; 2) x = 9.

Приложения:

dasew12: Здравствуйте. Помогите пожалуйста https://znanija.com/task/33392357
Вас заинтересует