Ответы
Ответ дал:
0
Ответ:
Ответ : 0,2×10^-5 кг.
Объяснение:
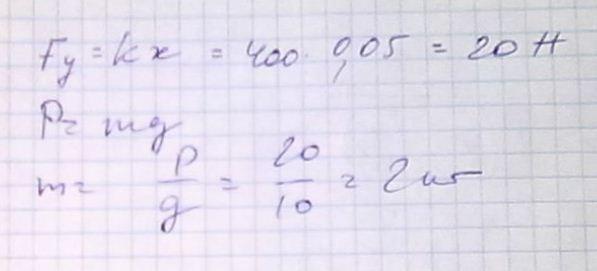
Все силы равны поэтому используется две формулы.
Приложения:

Ответ дал:
0
= решение = решение = решение = решение = решение =
Приложения:

Вас заинтересует
1 год назад
1 год назад
1 год назад
3 года назад
8 лет назад