• Предмет: Математика
  • Автор: privetpoka00
  • Вопрос задан 2 года назад

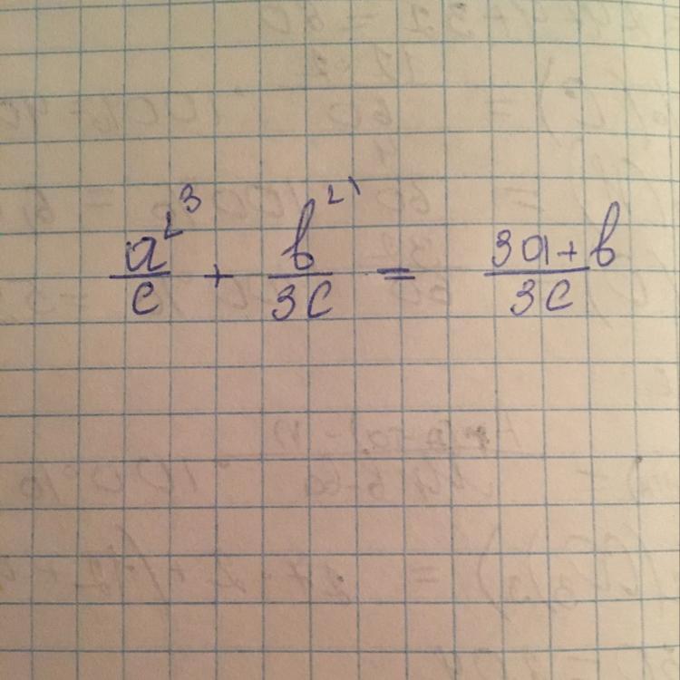
прошу сделайте , даю 10 баллов! вместо букв цифры какие то плз, буду благодарна, прошу пояснить всё​

Приложения:

Ответы

Ответ дал: Аноним
0
Здесь нужно только привести дроби к общему знаменателю:
Приложения:
Вас заинтересует