Ответы
Ответ дал:
1
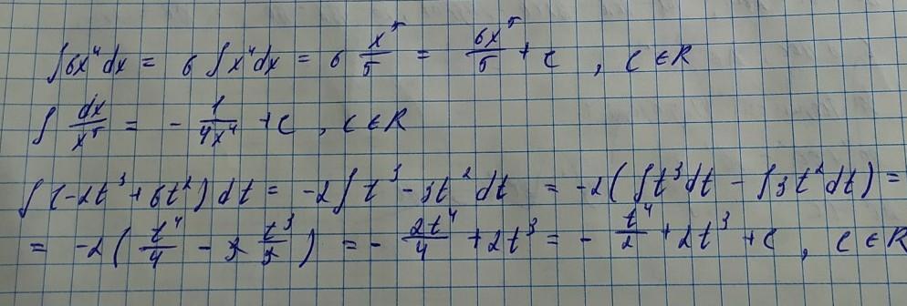
Решение приложено...
Приложения:

Ответ дал:
1
Ответ: во вложении Объяснение:
Приложения:

Вас заинтересует
1 год назад
1 год назад
3 года назад
8 лет назад