Ответы
Ответ дал:
0
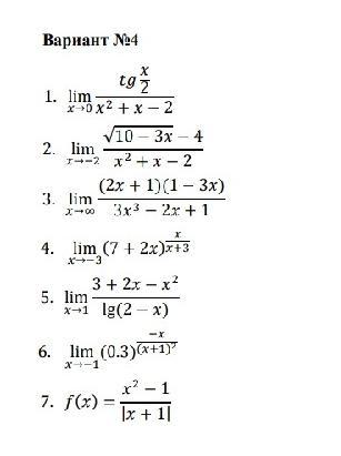
Решение предоставлено на фото , будут вопросы пиши!
Приложения:



reginakot:
6 и 7 я тоже решила , почему то они не загрузились , добавь меня в друзья , я тебе в личку скину
Вас заинтересует
1 год назад
1 год назад
1 год назад
3 года назад
8 лет назад