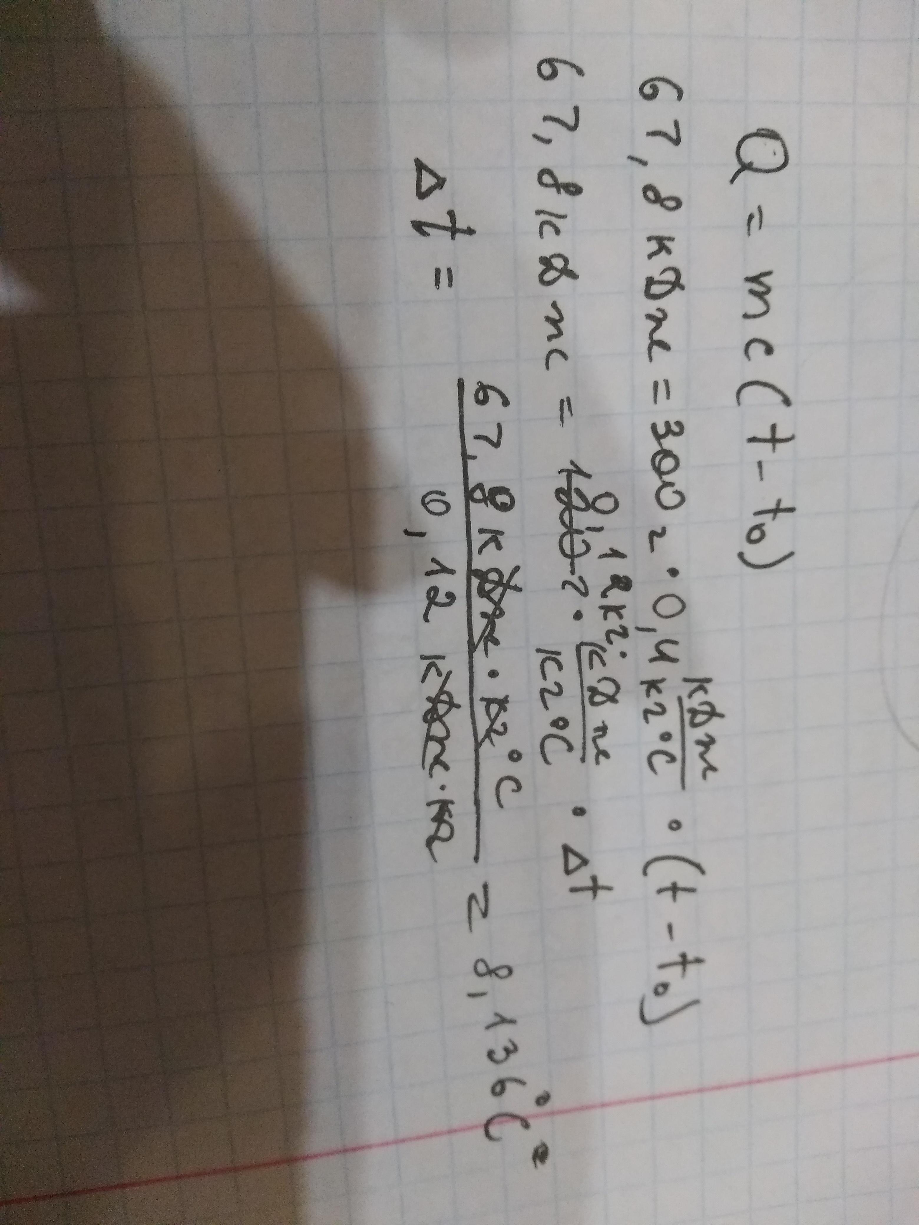
Витративши 67,8 кДж теплоти, розплавили 300 г цинку. Визначити початкову температуру цинку.
ДАЮ 50 БАЛІВ!
Ответы
Ответ дал:
7
Ответ:
Объяснение: при твоих условиях возможно найти только разницу температур (просто у тебя нету температуры цынка после плавки)
Приложения:

Лера1320в:
А чкщо є t плавлення то що далі робити?
Вас заинтересует
1 год назад
1 год назад
1 год назад
1 год назад
3 года назад
3 года назад
8 лет назад
8 лет назад