Даю 60 баллов за 1 задачу пожалуйста решиье прошу)) заранее спасибо
Нужно доказать тождество
Приложения:

Ответы
Ответ дал:
1
Відповідь:
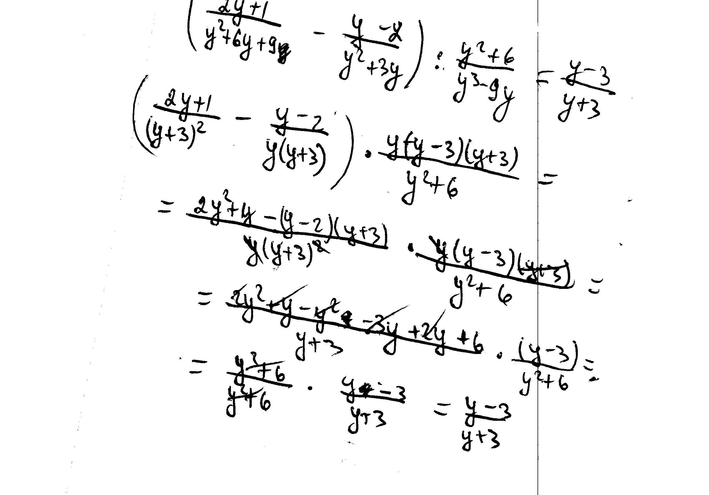
в документе
Пояснення:
Приложения:

Ответ дал:
0
Ответ: во вложении Объяснение:
Приложения:

Вас заинтересует
1 год назад
1 год назад
1 год назад
1 год назад
3 года назад
3 года назад
8 лет назад