• Предмет: Математика
  • Автор: indira5678
  • Вопрос задан 2 года назад

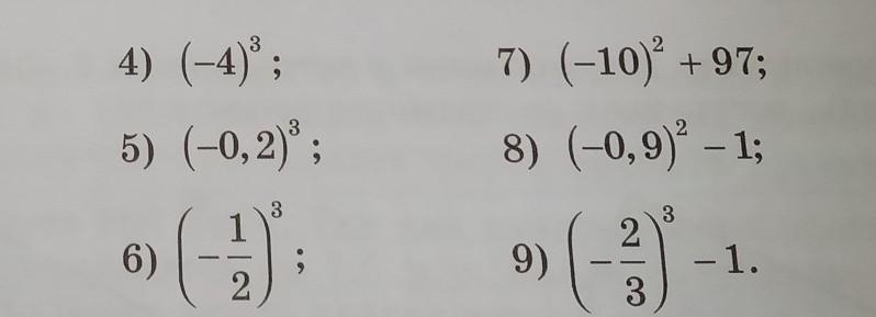
помогите даю 20 балов!!!​

Приложения:

Ответы

Ответ дал: likanika27
0

Ответ:

ниже

Пошаговое объяснение:

1) (-4)^3= 64

2)(-0,2)^3= 0,6

3)(-1/2)^3= 3/6

4)(-10)^2 +97=100+97=197

5)(-0,9)^2-1= 8,1-1=7,1

6)(-2/3)^3-1=6/9-1=-3/9

Вас заинтересует