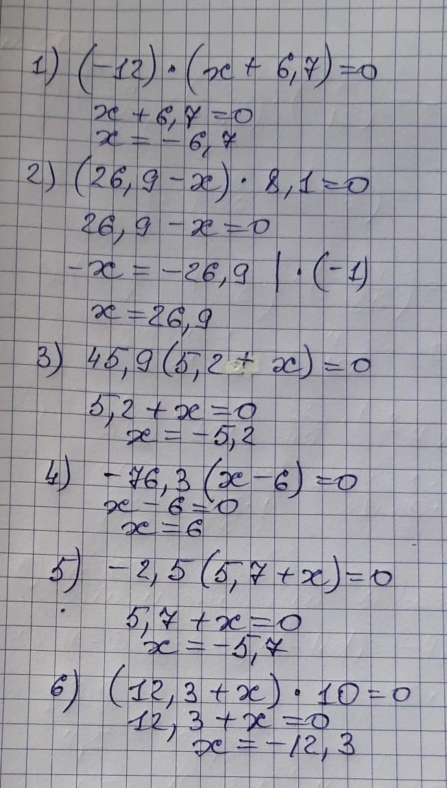
теңдеуді шешіңдер:
1) (-12) × (х + 6,7) = 0;
2) (26,9 - x)× 8,1 = 0;
3) 45,9 × (5,2 + х) = 0;
4) - 76,3 × (х-6) = 0;
5) -2,5 × (5,7 + х) = 0;
6) (12,3 + х) ×10 = 0.
Ответы
Ответ дал:
79
Ответ:
Решение уравнений.
Пошаговое объяснение:
Решение во вложении.
Приложения:

Вас заинтересует
1 год назад
1 год назад
1 год назад
3 года назад
3 года назад
8 лет назад