СРОЧНОООООООО
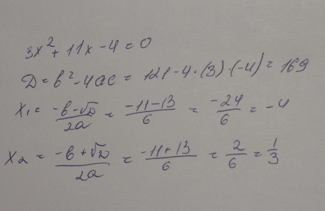
Решите уравнение:
Аx=4; x=-1/3
Бx= - 4; x=-1/3
Вx= - 4; x=1/3
Гx=4; x=1/3
Приложения:

Ответы
Ответ дал:
0
Ответ:В. х1=-4, х2=1/3
Приложения:

Аноним:
спасибо
Вас заинтересует
1 год назад
1 год назад
1 год назад
1 год назад
3 года назад
3 года назад
8 лет назад