Ответы
Ответ дал:
0
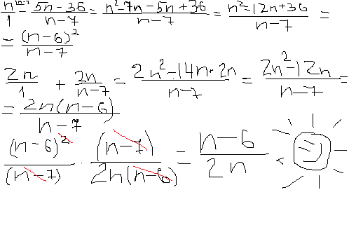
на зображенні всі рішення: користуйся
Приложения:

Ответ дал:
0
1)
2)
3)
Приложения:

Вас заинтересует
2 года назад
2 года назад
8 лет назад
8 лет назад
10 лет назад
10 лет назад
10 лет назад