• Предмет: Физика
  • Автор: qwerhui
  • Вопрос задан 2 года назад

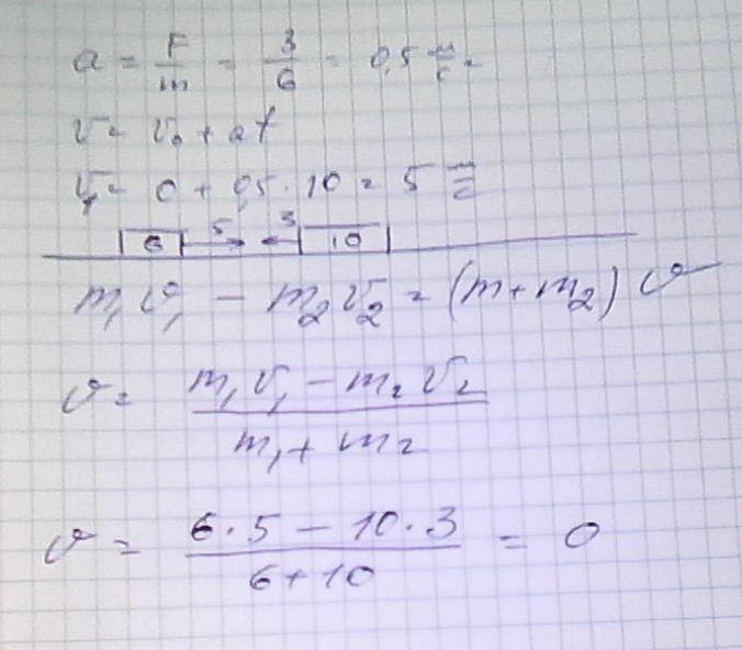
Тележка массой 6кг разгоняется из состояния покоя под действием результирующей силы 3Н.через 10 сек оно абсолютно неупруго сталкивается с тележкой массой 10 кг,движущейся со скоростью 3 м/с навстречу.определить скорость тел после соударения.


Аноним: интересно
Аноним: v=0?

Ответы

Ответ дал: Аноним
1

= решение = решение = решение = решение = решение =

Приложения:
Вас заинтересует