• Предмет: Математика
  • Автор: vareni4ka
  • Вопрос задан 2 года назад

СРОЧНО!!!!!!! СРОЧНО!!!!!!!СРОЧНО!!!!!!!!!
даю 20 баллов

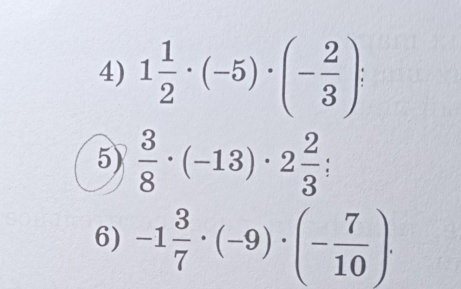
пользуясь переместительное и сочетательное свойства и выполни действия в наиболее удобном порядке​

Приложения:

Ответы

Ответ дал: cotuk05
1

Ответ:

3/8:8/3=1*(-13)=-13


vareni4ka: мне все нужны
Ответ дал: hope1wooorld
4

Ответ:

Как-то так аоаооааоаао

Приложения:
Вас заинтересует