• Предмет: Математика
  • Автор: Lisok11
  • Вопрос задан 2 года назад

Допоможіть пж срочно​

Приложения:

Ответы

Ответ дал: svihrovska
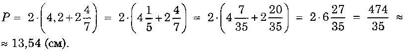
1

Я вставила фото там все написано!!!! Вибачаюсь робила не сама

Приложения:

Lisok11: дякую
Вас заинтересует