• Предмет: Алгебра
  • Автор: 4qqqq8
  • Вопрос задан 11 лет назад

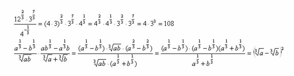
решить пример"СТЕПЕНЬ С РАЦИОНАЛЬНЫМ И ДЕЙСТВИТЕЛЬНЫМ ПОКАЗАТЕЛЕМ"
всё на фото, буду благодарна

Приложения:

Ответы

Ответ дал: Evklid61
0
За разъяснениями обращаться в чат

Приложения:
Вас заинтересует