• Предмет: Алгебра
  • Автор: Taranee
  • Вопрос задан 2 года назад

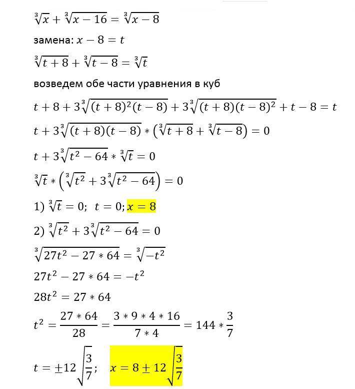
Решить уравнение
 \sqrt[3]{x}  +  \sqrt[3]{x - 16}  =  \sqrt[3]{ x - 8}

Ответы

Ответ дал: Аноним
3

Ответ:

{8;\:\:\p8\pm12\sqrt{\dfrac{3}{7} }

Объяснение:

_________________________________

Приложения:
Вас заинтересует