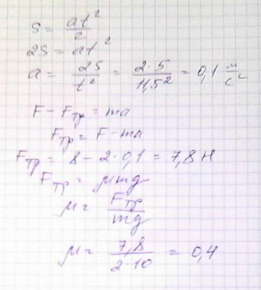
Сила тяги = 8н
Масса бруска = 2кг
Путь = 5м
Время = 11.5с
Надо найти коэффицент трения и силу трения.
Ответы
Ответ дал:
2
= решение = решение = решение = решение = решение =
Приложения:

Вас заинтересует
1 год назад
1 год назад
1 год назад
1 год назад
3 года назад
3 года назад
8 лет назад