помогите решить уравнение из дидактического материала
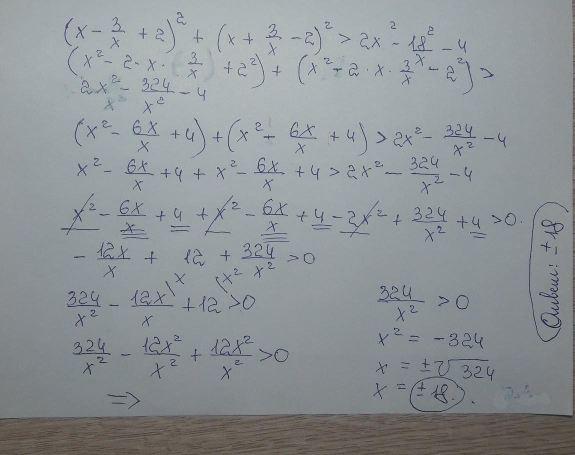
(х-3/х+2)^2+(х+3/х-2)^2>2х^2-18/х^2-4
Это дроби
Ответы
Ответ дал:
0
Надеюсь тебе помогло, но если нет, скорее всего вы такой способ не проходили в школе, но другие способы я плохо помню)
Приложения:

Вас заинтересует
1 год назад
1 год назад
3 года назад
3 года назад
8 лет назад
8 лет назад