• Предмет: Алгебра
  • Автор: pizzapop078
  • Вопрос задан 2 года назад

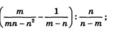
Виконайте дії приведені нижче

Приложения:

Ответы

Ответ дал: matematikL
0

Объяснение:

Спочатку в дужках виконати віднімання

виносим n за дужки, зводим до спільного знаменника буде

(m-n)/n(n-m)

Далі ділим

Ділити те саме що множити на обернений дріб(коли чисельник стає знаменник, а знаменник чисельником)

В результаті скорочення

буде

(m-n)/n^2


pizzapop078: Спасибо!
Вас заинтересует