• Предмет: Математика
  • Автор: vadimrusinov2017
  • Вопрос задан 2 года назад

Решить Иррациональное уравнение

Приложения:

Ответы

Ответ дал: Аноним
3

Ответ:

(16;4)

Пошаговое объяснение:

x≥0;y≥0

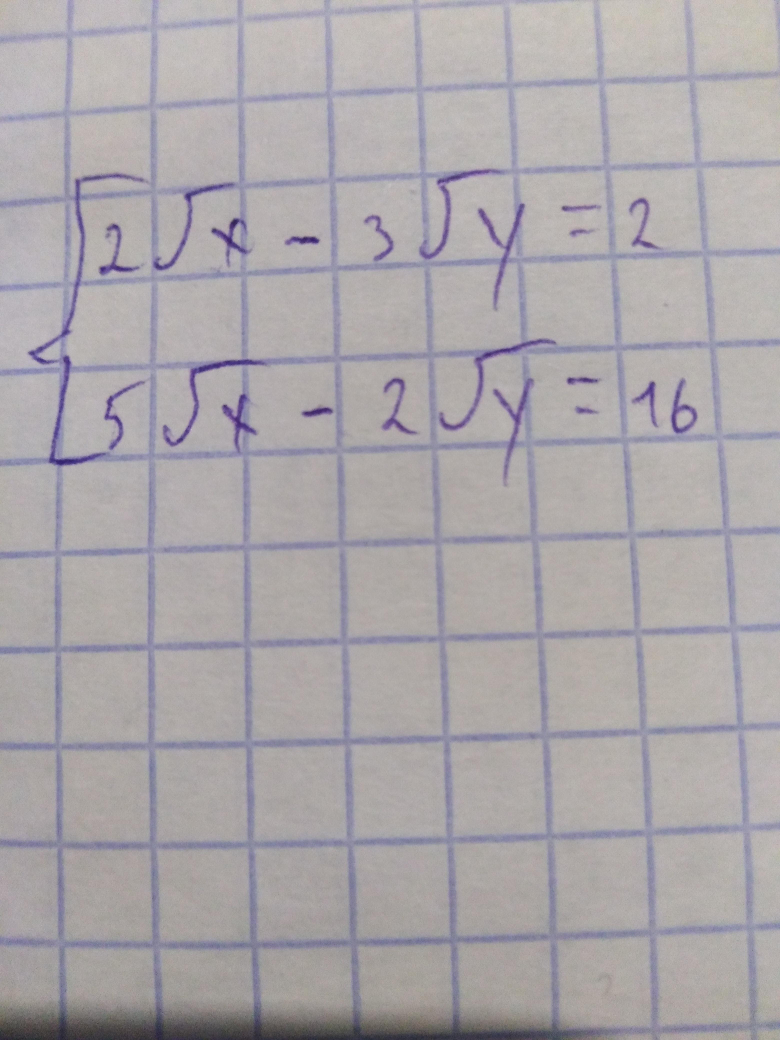
2√x-3√y=2                     |*2

5√x-2√y=16                    |*(-3)

\displaystyle\\\left \{ {{4\sqrt{x} -6\sqrt{y}=4 } \atop {-15\sqrt{x}+6\sqrt{y}=-48  }} \right. \\ \\

сложим

-11√x=-44

√x=4

x=16

подставим в 1 ур-е

2*4-3√y=2

3√y=6

√y=2

y=4

ОТВЕТ: (16;4)

Ответ дал: AnonimusPro
0

одз:

x\geq 0\\y\geq 0

решаем систему:

\left \{ {{2\sqrt{x}-3\sqrt{y}=2} \atop {5\sqrt{x}-2\sqrt{y}=16}} \right.

выразим √x из первого уравнения:

2\sqrt{x}-3\sqrt{y}=2\\2\sqrt{x}=3\sqrt{y}+2\\\sqrt{x}=1,5*\sqrt{y}+1

подставляем во второе:

5*(1,5*\sqrt{y}+1)-2\sqrt{y}=16\\7,5*\sqrt{y}+5-2\sqrt{y}=16\\\sqrt{y}(7,5-2)=11\\5,5*\sqrt{y}=11\\\sqrt{y}=\frac{11}{5,5}=\frac{110}{55}=2\\y=2^2=4\\\sqrt{x}=1,5*\sqrt{4}+1\\\sqrt{x}=4\\x=4^2=16

Ответ: (16;4)

Вас заинтересует