• Предмет: Математика
  • Автор: sofyamanicheva
  • Вопрос задан 2 года назад

решите пожалуйста
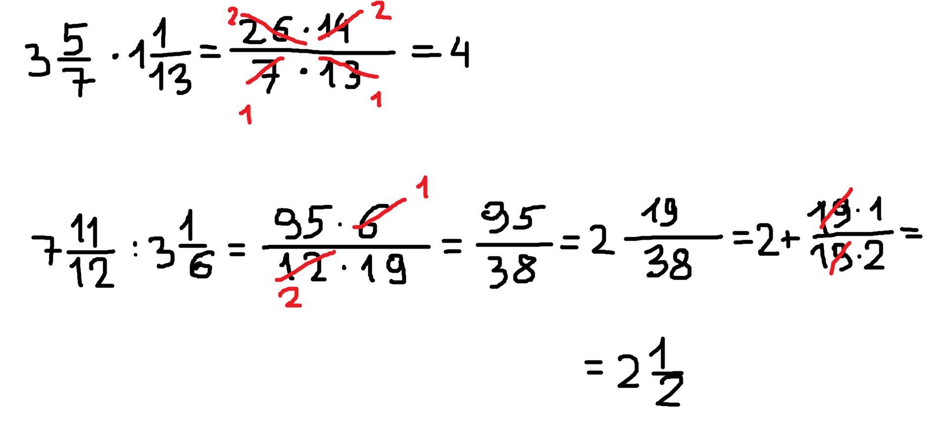
3 ( целых) 5\7 * 1 ( целых) 1\13
7 ( целых) 11\12 : 3 ( целых) 1\6
( решите пожалуйста не просто ответ а полным решением прошу, умоляю)

Ответы

Ответ дал: Аноним
2

Ответ:↓↓

Пошаговое объяснение:↓↓удачи всё на 100%

Приложения:

sofyamanicheva: ничего, уже поняла)))))))))))))))))))))
Аноним: да там *
Аноним: умножить
sofyamanicheva: спс
Аноним: отметь как лучший п жжж
sofyamanicheva: О Т М Е Ч У !
Аноним: ладно))
sofyamanicheva: вот так))
sofyamanicheva: на на что сократил в конце второго решения просто заркнуто а цифр нет
sofyamanicheva: ошибка!
Вас заинтересует