• Предмет: Математика
  • Автор: vasilispkuncevic
  • Вопрос задан 2 года назад

решить уравнение
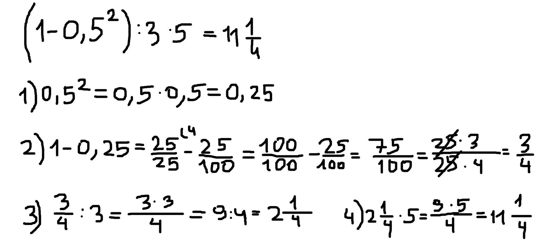
(1-0,5²):3*5

Ответы

Ответ дал: Аноним
1

Ответ: 11  1/4

Пошаговое объяснение: ↓↓ вроде так

Приложения:

Аноним: отметь как лучший!
vasilispkuncevic: там 4 действия как бы лол
Аноним: да я и сделал 4 действия не видно:
vasilispkuncevic: ахахпх извини
Аноним: бывает!
Вас заинтересует