• Предмет: Алгебра
  • Автор: Laizkaa0004
  • Вопрос задан 2 года назад

Алгебра помогите пожалуйста с заданием 1

Приложения:

Ответы

Ответ дал: olesjaorlowa2004
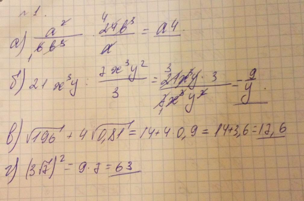
1

...........

Объяснение:

Надеюсь всё понятно

Приложения:
Ответ дал: Namib
1

Ответ:

Объяснение:

a)

\frac{a^{2} }{6b^{3}}\frac{24b^{3}}{a}=4a

б)

21x^{3}y : \frac{7x^{3}y^{2}}{3} =21x^{3}y \frac{3}{7x^{3}y^{2}}=3\frac{3}{y}=\frac{9}{y}

в)

\sqrt{196}+4\sqrt{0,81}=14+4*0,9=14+3,6=17,6

г)

(3\sqrt{7} )^{2} = 3^{2}(\sqrt{7} )^{2} =9*7=63

Вас заинтересует