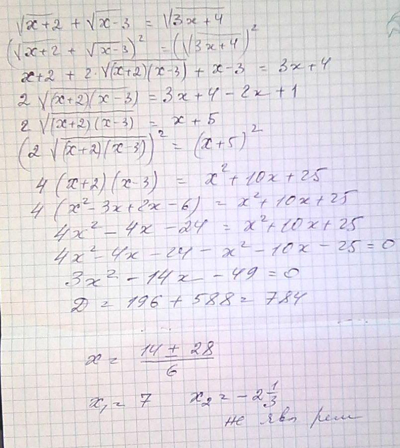
√(х+2)+√(х-3)=√(3х+4)
Помогите пожалуйста это важно
Аноним:
возводи в квадрат обе части
Ответы
Ответ дал:
1
= решение = решение = решение = решение = решение =
Приложения:

Вас заинтересует
1 год назад
1 год назад
1 год назад
3 года назад
3 года назад
8 лет назад