• Предмет: Математика
  • Автор: nuraigaziz3105
  • Вопрос задан 2 года назад

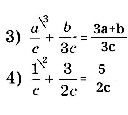
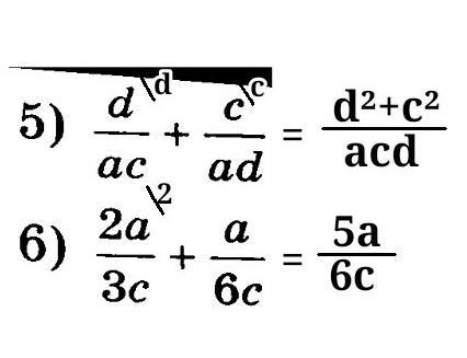
Помогите пожалуйста решить заранее спасибо​

Приложения:

Ответы

Ответ дал: Voronessa
2

Думаю, вы должны были проходить эту тему. Если вы записываете иначе (все может быть, учителя везде резные), то переделай ответ, но тут все так

Приложения:
Ответ дал: margarita200704
1

Пошаговое объяснение:

вот, поставь пожалуйста сердце, я сторалась

Приложения:
Вас заинтересует