Составьте программу сортировки по возрастанию значений трех переменных: А, В, С. Продемонстрируйте данный алгоритм в виде БЛОК-СХЕМЫ.
Ответы
Ответ дал:
9
Ответ:
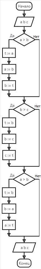
var a, b, c, t: integer;
begin
readln(a, b, c);
if a > b then begin t:=a; a:=b; b:=t end;
if b > c then begin t:=b; b:=c; c:=t end;
if a > b then begin t:=b ;b:=a; a:=t end;
writeln(a, ' ', b, ' ', c);
end.
Приложения:
Вас заинтересует
2 года назад
2 года назад
2 года назад
3 года назад
3 года назад
9 лет назад