• Предмет: Математика
  • Автор: VZLOM7ANUSA
  • Вопрос задан 2 года назад

срочно! 50б пжпжпжпжпжпж........​

Приложения:

Ответы

Ответ дал: Аноним
1

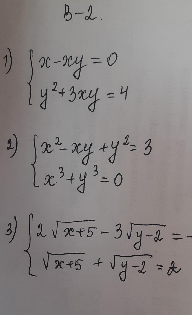
1)\;\begin{cases}x-xy=0\\y^2+3xy=4\end{cases}\Rightarrow\begin{cases}x(1-y)=0\\y^2+3xy=4\end{cases}

Первое уравнение последней системы справедливо для x=0 и y=1

\begin{cases}x=0\\y^2=4\end{cases}\Rightarrow\begin{cases}x=0\\y=\pm2\end{cases}\\\\\\\begin{cases}y=1\\1+3x=4\end{cases}\Rightarrow\begin{cases}y=1\\x=1\end{cases}\\OTBET:\;(0;\;-2),\;(0;\;2),\;(1;\;1)

2)\;\begin{cases}x^2-xy+y^2=3\\x^3+y^3=0\end{cases}\Rightarrow\begin{cases}x^2-xy+y^2=3\\(x+y)(x^2-xy+y^2)=0\end{cases}\Rightarrow\\\Rightarrow\begin{cases}x^2-xy+y^2=3\\2(x+y)=0\end{cases}\Rightarrow\begin{cases}x^2-x(-x)+(-x)^2=3\\y=-x\end{cases}\\\\x^2-x(-x)+(-x)^2=3\\x^2+x^2+x^2=3\\3x^2=3\\x^2=1\\x=\pm1\\\begin{cases}x=-1\\y=1\end{cases}\quad u\quad\begin{cases}x=1\\y=-1\end{cases}

3) неполностью видно первое уравнение.


Аноним: помогите пожалуйста мне по математике
Аноним: помогите пожалуйста мне по математике
Вас заинтересует