Ответы
Ответ дал:
2
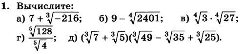
Ответ: а) 1; б) 2; в) 3; г) 2; д) 12
Объяснение: во вложении
Приложения:

Вас заинтересует
1 год назад
1 год назад
1 год назад
1 год назад
3 года назад
3 года назад
8 лет назад